跳到主要内容

京都大学 情報学研究科 システム科学専攻 2021年8月実施 専門科目 確率統計

Author

AKIRA (小红书:94184092292)

Description

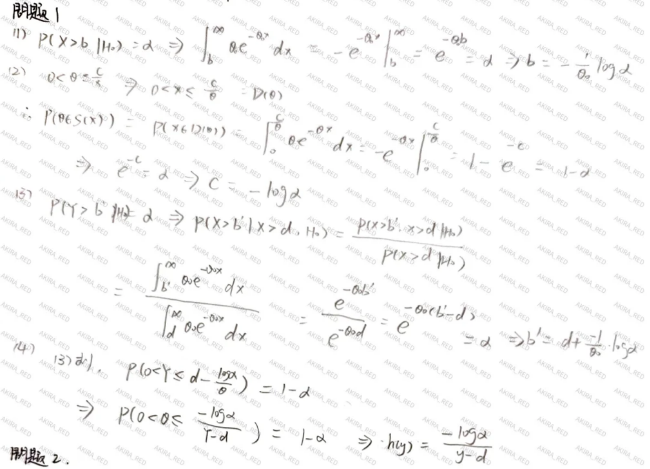
問題1

確率変数 は確率密度関数

の指数分布にしたがう。ただし はパラメータである。 ある定数 に対して、帰無仮説 、対立仮説 の仮説検定を有意水準 で行いたい。 以下の設問に答えなさい。その導出過程も示すこと。

(1) 定数 を定めておき、 のとき を棄却する。 この仮説検定の有意水準が となるような定数 を求めよ。

(2) 定数 を定めておき、パラメータ の信頼区間を

とする。 を満たすような定数 を求めよ。

(3) 与えられた定数 に対して、事象 を条件とする の条件付き分布にしたがう確率変数 を定義する。 すなわち、任意の に対して である。 定数 を定めておき、 のとき を棄却する。この仮説検定の有意水準が となるような定数 を求めよ。

(4) 設問(3)の確率変数 からパラメータ の信頼区間をつくりたい。 ある関数 を用いて、

とする。 を満たすような関数 を求めよ。

問題2

以下の設問に答えなさい。 ただし、 は平均 、分散 の正規分布、 は期待値を表す。

(1) 独立ではないが無相関であるような実確率変数の組 の例を1つ挙げよ。 またそれが独立ではないこと、無相関であることの証明も示せ。

(2) を独立な に従う確率変数とする。 が従う確率分布の確率密度関数を求めよ。

以下の設問では、次のように定義される関数

および なるパラメータを持つ確率密度関数

を用いる。 確率密度関数 を持つ確率分布を とする。 また必要であれば に対して を用いてよい。

(3) に従う確率変数 について、そのモーメント母関数

が有限であるような実数 の条件を示し、そのときの の値を求めよ。

(4) 確率変数 は独立で に従うものとする。 このとき は、あるパラメータ を持つ に従うことを示すとともに、 を用いて表せ。

(5) に従う確率変数 の期待値 と分散 を用いて表せ。

(6) をパラメータ が未知である からの無作為標本とする。 設問(5)の結果とモーメント法を用いて、 に対する推定値 を標本平均

の関数として表せ。ただしモーメント法とは、パラメータを 個持つ確率密度関数 のモーメント

を標本モーメント

と等しいと置き、 なる 個の連立方程式を について解くことで、推定値 を得る方法である。

Kai

問題1

問題2