跳到主要内容

京都大学 情報学研究科 システム科学専攻 2020年8月実施 専門科目 確率統計

Author

AKIRA (小红书:94184092292)

Description

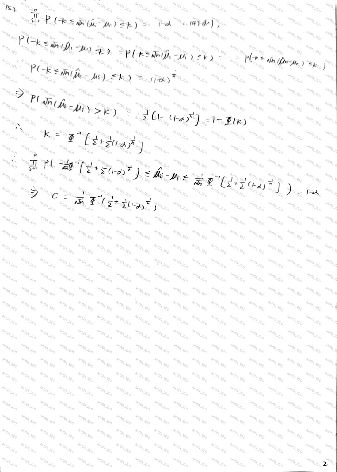
問題1

確率変数 は独立に正規分布に従い、 とする。 ただし、 は平均 、分散 の正規分布を表す。 ここで は正の整数、 は未知パラメータである。 また、 の分布関数 で表す。 以下の設問に答えなさい。その導出過程も示すこと。

(1) をすべて用いて の最尤推定量 を求めよ。

(2) の不偏推定量であることを示せ。

(3) 各 において、帰無仮説 、 対立仮説 の仮説検定を有意水準 で行いたい。 そのために定数 を定めておき、 のとき帰無仮説を棄却する。定数 を求めよ。

(4) 各 において、ある定数 を用いて の信頼区間

を定める。これが を満たすようにしたい。定数 を求めよ。

(5) 上記の

を満たすようにしたい。 として、定数 を求めよ。

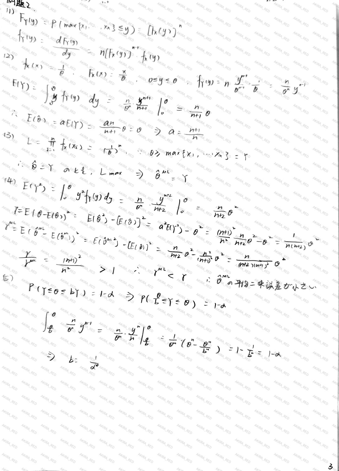
問題2

を互いに独立で、同一の確率密度関数に従う実数値確率変数とし、対応する確率密度関数・確率分布関数をそれぞれ とする。 また、

とする。以下の設問に答えなさい。

(1) の確率分布関数 および確率密度関数 を用いて表せ。

以下の設問では、 は区間 上の一様分布に従うものとする。

(2) の不偏推定量となるように、 を用いて表せ。

(3) の最尤推定量 を求めよ。

(4) および の平均二乗誤差を求め、 どちらの推定量のほうが小さい平均二乗誤差を与えるか答えよ。 ただし、 は (2) で求めた不偏推定量である。

(5) の信頼区間として

の形を考える。 に対して、 となるように を設定せよ。

Kai

問題1

問題2