京都大学 情報学研究科 システム科学専攻 2020年8月実施 数学【II】
Author
Description
問1
関数
さらに、
とし、関数
このとき、以下の設問に答えよ。
(i)
(ii)
(iii) 任意の
(iv) 次式が成り立つことを示せ。
(v) 関数
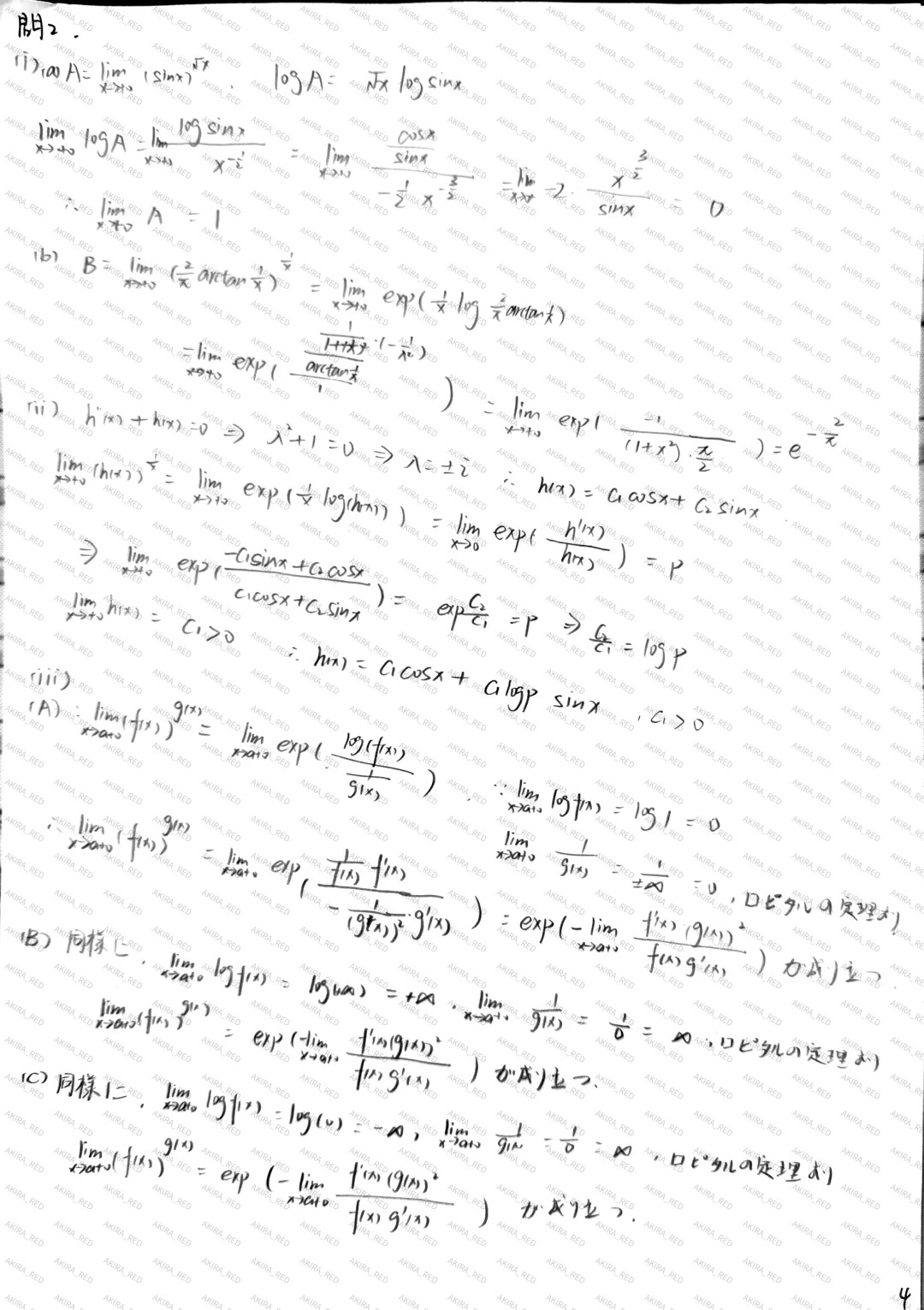
問2
微分可能な関数
- (A)
かつ - (B)
かつ - (C)
かつ
このとき、次式が成り立つ。
(i) 次の値を求めよ。
- (a)
- (b)
( とする)
(ii) 関数
関数
(iii) (A), (B), (C) のいずれかが満たされるとき、式 (1) が成り立つことを証明せよ。
Kai
問1

問2
