跳到主要内容

京都大学 情報学研究科 システム科学専攻 2020年8月実施 数学【I】

Author

AKIRA

Description

行列 の転置を で表す。 問1、問2 はそれぞれ別の解答用紙に解答すること。

問1

以下の設問に答えよ。

(i) 3次元実ベクトル空間を考える。 を基底とする1次元部分空間 への正射影について、その射影行列と の像を求めよ。 また、 の直交補空間の正規直交基底を1つ求めよ。

(ii) 行列 について、その階数と行列式の値を求めよ。 また、逆行列があれば逆行列を求めよ。

(iii) 次のブロック行列 の行列式の値 を求めよ。導出過程も示すこと。 ただし、 はそれぞれ の行列であり、 とする。 また、 の零行列である。必要であれば、2つの正方行列 について、 であることを用いてよい。

問2

以下の設問に答えよ。それぞれ、答えだけでなく、その理由についても示すこと。

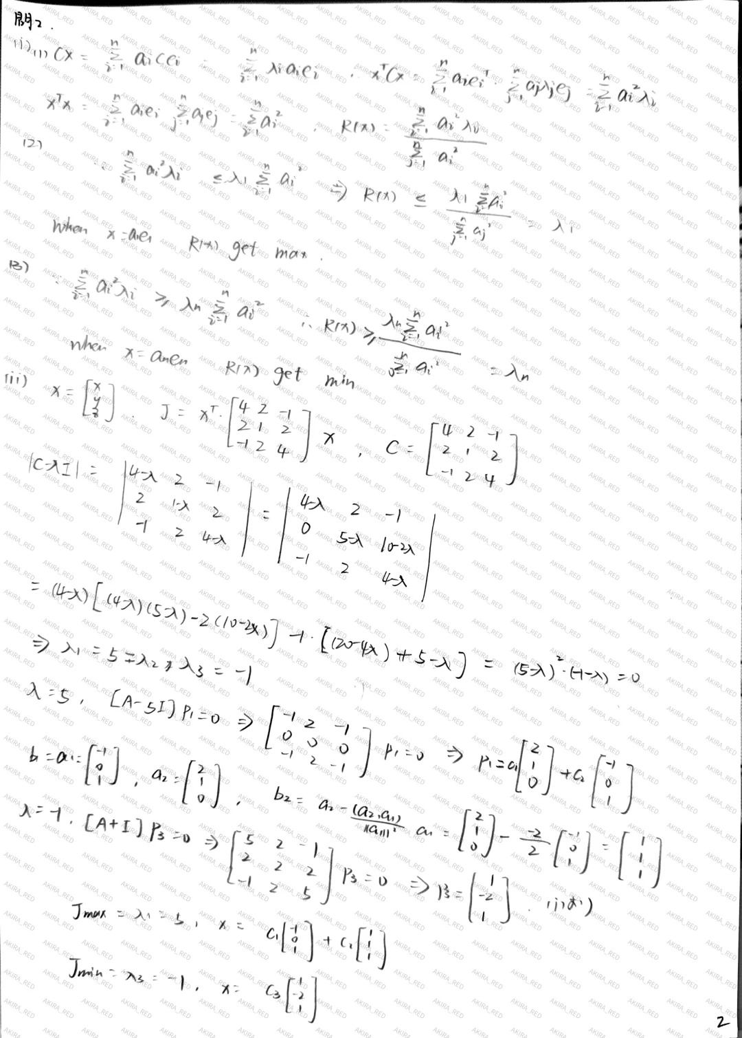
(i)

の実数値対称行列 の固有値を 、対応する固有ベクトルを とする。 ただし、 は互いに直交し、それぞれ長さ 次元ベクトルである。 次元ベクトル に対して定義される

について考える。

(1) スカラー を用いて、

としたとき、 を用いて表せ。

(2) の最大値を を用いて表せ。 また、その最大値を与える はいかなるものか、 などを用いて示せ。

(3) の最小値を を用いて表せ。 また、その最小値を与える はいかなるものか、 などを用いて示せ。

(ii)

3つの実数 を満たすとき、

の最大値と最小値を求め、それぞれを与える をすべて示せ。

Kai

問1

問2